Phương trình bậc 2 là một kiến thức cơ bản mà đa số chúng ta đã được học từ thời cấp 2. Từ những nguyên tắc cơ bản đến những ứng dụng phức tạp, phương trình bậc 2 không chỉ là một khái niệm toán học trừu tượng, mà còn mang trong mình những giá trị thực tiễn vô cùng quan trọng. Nhưng bạn đã từng tự hỏi cách giải phương trình bậc 2 là gì và tại sao nó lại được sử dụng phổ biến đến vậy? Trong bài viết này, https://bangdaihochinhquy.com sẽ cùng nhau khám phá phương pháp tìm nghiệm phương trình bậc 2 từ những kiến thức cơ bản cho đến ứng dụng thực tiễn.
A. Lý thuyết về công thức nghiệm của phương trình bậc 2
1. Công thức nghiệm:
Đối với phương trình có dạng ax² + bx + c = 0 (a ≠ 0)
Ta có biệt thức của phương trình là: Δ = b2 – 4ac
- Trường hợp 1: Nếu Δ > 0 thì ta có phương trình có 2 nghiệm phân biệt

- Trường hợp 2: Nếu Δ = 0 thì ta có phương trình có nghiệm kép

- Trường hợp 3: Nếu Δ < 0 thì ta có phương trình đã cho vô nghiệm
Lưu ý: Nếu phương trình ax² + bx + c = 0 (a ≠ 0) có 2 ẩn a và c trái dấu, tức là ac < 0. Lúc này, ta có Δ = b² – 4ac > 0 ⇒ Phương trình luôn luôn có 2 nghiệm phân biệt
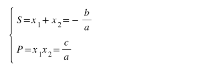
2. Định lý Viet của phương trình bậc 2
Khi gặp các phương trình bậc 2 hay giải phương trình bậc 2 một ẩn, các em học sinh không thể không nhắc tới định lý Viet. Đây là một trong những định lý quan trọng giúp các em dễ dàng giải quyết các dạng bài liên quan tới phương trình bậc 2
Ta có phương trình bậc 2 có dạng: ax² + bx + c = 0 (a ≠0) là phương trình có tối đa 2 nghiệm, gọi là x1 và x2. Khi đó, theo định lý Viet ta có mối liên hệ giữa các 2 nghiệm và các ẩn của phương trình như sau:
x1 + x2 = -b/a
x1x2 = c/a
Khi làm các dạng bài tập về phương trình bậc 2, các em học sinh có thể áp dụng mối liên hệ trên vào quá trình biến đổi biểu thức phương trình bậc 2 . Cụ thể như sau:
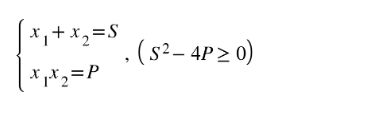
Bạn cũng có thể áp dụng định lý Viet đảo với 2 số x1 và x2 thỏa mãn 2 điều kiện:
- x1 + x2 = S
- x1x2 = P
Trong đó: cả x1 và x2 đều là nghiệm của phương trình x² – Sx + P = 0.
Ứng dụng của định lý Viet được áp dụng rất nhiều trong các dạng bài tập về phương trình bậc 2. Với phương trình bậc 2, các em học sinh hoàn toàn có thể dễ dàng tìm ra nghiệm của phương trình mà không cần dùng tới Δ trong một số trường hợp đặc biệt sau:
- Trường hợp 1: a+b+c=0 thì phương trình bậc 2 có 2 nghiệm là x1 = 1 và x2 = c/a.
- Trường hợp 2: a-b+c=0 thì phương trình bậc 2 2 nghiệm là x1 = -1 và x2 = -c/a. (Đây là trường hợp ngược lại với trường hợp 1, các em học sinh cần lưu ý kỹ để tránh bị nhầm lẫn trong quá trình làm bài)
Xem thêm :
- Làm Bằng Cấp 3, THPT Chính Quy Giá rẻ Có Học Bạ Gốc
- Công thức tính diện tích hình vuông, tính chu vi hình vuông
Lý thuyết về định lý Viet
1. Định nghĩa
Cho cho một phương trình bậc 2 một ẩn có dạng:
ax² + bx + c = 0 (điều kiện: a≠0)
Khi phương trình trên có 2 nghiệm x1 và x2 thì 2 nghiệm của phương trình này thỏa mãn hệ thức sau:

2. Hệ quả của định lý Viet:
Dựa vào hệ thức Viet ta có: Với một phương trình bậc 2 một ẩn có nghiệm, ta hoàn toàn có thể nhẩm nhanh trực tiếp nghiệm của phương trình bậc 2 một ẩn đã cho trong một số trường hợp sau:
- Nếu a+b+c=0 thì phương trình ax² + bx + c có 1 nghiệm x1 = 1 và x2 = c/a
- Nếu a-b+c=0 thì phương trình ax² + bx + c có 2 nghiệm x1 = -1 và x2 = -c/a
3. Định lý đảo của định lý Viet
Giả sử hai số thực x1 và x2 xác định thỏa mãn hệ thức sau:

Thì 2 số thực x1 và x2 đã cho là 2 nghiệm của phương trình bậc 2 một ẩn có dạng:
x2 – Sx + P = 0
B. Dạng bài tập ứng dụng công thức nghiệm của phương trình bậc 2
HOCMAI sẽ chia sẻ một số dạng bài tập thường gặp về phương trình bậc 2. Mỗi dạng bài sẽ có một phương pháp giải khác nhau, chính vì vậy, khi nắm vững được các dạng, áp dụng đúng cách và đúng phương pháp sẽ giúp các em học sinh tiết kiệm thời gian và có được đáp án chính xác nhất.
Dạng bài tập 1: Phương trình bậc 2 1 ẩn không có tham số
Khi gặp dạng bài tập này, các em học sinh chỉ cần cần áp dụng công thức tính Δ và Δ’ rồi áp dụng các công thức tính nghiệm phương trình bậc 2 như đã được giới thiệu ở trên. Từ đó tính ra các nghiệm của phương trình
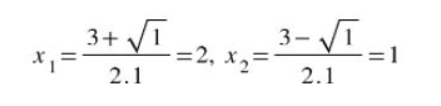
Ví dụ: Tìm nghiệm của phương trình sau: x2 – 3x+2 = 0.
Áp dụng công thức tính Δ, ta sẽ có Δ = b2 – 4ac = 1.
Vậy nghiệm của phương trình trên lần lượt là:

Dạng bài tập 2: phương trình bậc 2 có 1 ẩn là tham số
Bên cạnh dạng không chứa tham số, phương trình bậc 2 một ẩn có tham số cũng là một dạng bài tập quan trọng. Đây thường là những dạng bài tìm điều kiện để hàm số đã cho có 2 nghiệm, có 1 nghiệm hoặc tìm điều kiện để hàm số vô nghiệm.
Để làm được dạng bài tập này, các em học sinh cũng cần sử dụng công thức tính Δ. Sau đó, dựa các trường hợp của Δ để từ đó xét điều kiện như đề bài đưa ra.
Các trường hợp của Δ bao gồm có:
- Nếu Δ > 0 thì ta có phương trình có 2 nghiệm phân biệt
- Nếu Δ < 0 thì ta có phương trình vô nghiệm
- Nếu Δ = 0 thì ta có phương trình có 1 nghiệm (hoặc 2 nghiệm trùng nhau)
C. Các dạng bài thường gặp phương trình bậc 2
Bài tập luyện tập

Bài tập thực hành
![]()
Hướng dẫn giải

Hướng dẫn giải
